L'hydrogène est au cœur du défi énergétique actuel
Si l'hydrogène constitue probablement un vecteur majeur de la transition énergétique, son utilisation actuelle sous la forme d’hydrogène liquéfié (−253°C, 10 bar) ou comprimé (25°C, 700 bar) est particulièrement énergivore. Les composés comme le borazane NH3BH3 et ses dérivés méthylés (MeNH2BH3, Me2NHBH3) présentent un intérêt tout particulier car ils sont connus pour leur capacité à stocker et à libérer de grandes quantités d’hydrogène de manière efficace. Néanmoins, pour optimiser les réactions chimiques impliquées dans le stockage de l’hydrogène au sein de ces molécules, des catalyseurs sont nécessaires. Actuellement, les plus performants sont des complexes métalliques à base de métaux nobles, notamment le ruthénium, facteur limitant pour leur utilisation à grande échelle. D’où l’urgence de les remplacer par d’autres, moins coûteux et plus durables.
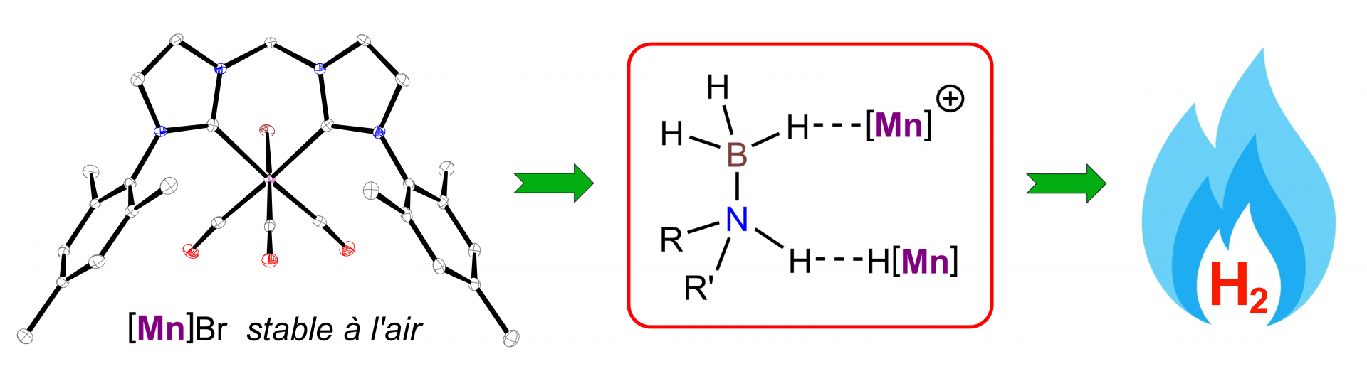
Dans ce contexte de recherche pour un avenir énergétique plus durable et plus propre, des chercheurs du laboratoire de chimie de coordination (LCC, CNRS) à Toulouse et de l’Institut Nesmeyanov de Moscou se sont inspirés du vivant : en effet, le manganèse est un centre catalytique présent dans certaines enzymes naturelles ou certains catalyseurs biomimétiques. Les équipes du LCC et de l’Institut Nesmeyanov mettent en évidence, pour la première fois, les performances catalytiques exceptionnelles d’un complexe à base de manganèse, noté [Mn]Br (voir figure). La coopération de deux centres métalliques manganèse permet l’activation de petites molécules organiques comme le borazane NH3BH3, et facilite ainsi la libération de l’hydrogène des liaisons N-H et B-H. De plus, ce catalyseur présente l'avantage d'être aisément synthétisable et stable à l’air, donc robuste.
En conséquence, ces nouveaux catalyseurs s'avèrent plus efficaces et plus durables pour le stockage « chimique » de l'hydrogène dans des molécules organiques. C'est une technique innovante et prometteuse dans le sens où l'hydrogène pourrait être libéré à la demande et de manière contrôlée.
