Cette revue de presse est le fruit des lectures de divers périodiques par des enseignants de sciences physiques au cours des mois de novembre 2021 à janvier 2022. Elle vise à proposer une sélection d'articles utiles pour les professeurs de chimie. Bonne lecture !
L'Actualité Chimique
Novembre 2021 : dossier spécial « Recycler les plastiques »
Le recyclage des plastiques de déchets d’équipements électriques et électroniques (DEEE)
L'Actualité Chimique, novembre 2021, p. 25-30.
C. Signoret, A-S. Caro-Bretelle, J-M. Lopez- Cuesta, P. Ienny, D. Perrin
Le tri et la comptabilisation des déchets plastiques sont des défis majeurs en vue du recyclage efficace des matériaux polymères qui les constituent. Ces derniers (PVC, PET, ABS etc) sont en effet le plus souvent « incompatibles » car leurs mélanges mènent à des matériaux composites aux propriétés mécaniques médiocres. Le tri optique par spectroscopie IR est présenté : il permet la discrimination de polymères par leur signature infrarouge, circulant sur des tapis roulant à une dizaine de km.h-1 ! Mais cette technique est peu efficace sur les plastiques sombres dont la pigmentation noire est due au noir de carbone, un formidable absorbant infrarouge qui aveugle les caméras de détection. Les auteurs présentent une méthode alternative et complémentaire basée sur une étude fine des bandes spectrales dans le moyen IR. Ils ont ainsi développé des tables de corrélation permettant d’identifier rapidement des matrices polymères et leurs éventuelles impuretés.
Des schémas clairs peuvent aider à l’illustration du cours de spectroscopie (superposition de spectres, effet de la baisse de résolution spectrale sur la qualité d’un spectre) ou sur la chimie des polymères (propriétés mécaniques).
Décembre 2021 : dossier spécial « La chémobiolobie explore le vivant »
Prix Nobel de chimie 2021 : l’organocatalyse asymétrique mise à l’honneur
L'Actualité Chimique, décembre 2021, p. 5-6
J.F. Betzer
Un court article mettant en lumière le récent prix Nobel de chimie 2021, décerné à Benjamin List et David MacMillan, pour leur développement de l’organocatalyse asymétrique, un moyen efficace d’obtenir des structures énantioenrichies en utilisant de petits catalyseurs chiraux organiques, sans emploi de métaux de transition. Les deux lauréats ont décrit la même année, en 2000, l’utilisation d’organocatalyseurs pour effectuer des transformations énantiosélectives sur deux réactions majeures de la synthèse organique : la réaction d’aldolisation et la cycloaddition (4+2) de Diels-Alder.
Ces concepts et exemples peuvent faire l’objet d’exercices pour des élèves de 2e année de CPGE ou de 2e cycle universitaire.
De la chimie bioorthogonale au développement de nouvelles stratégies thérapeutiques
L'Actualité Chimique, décembre 2021, p. 13-15.
S. Papot, F. Taran
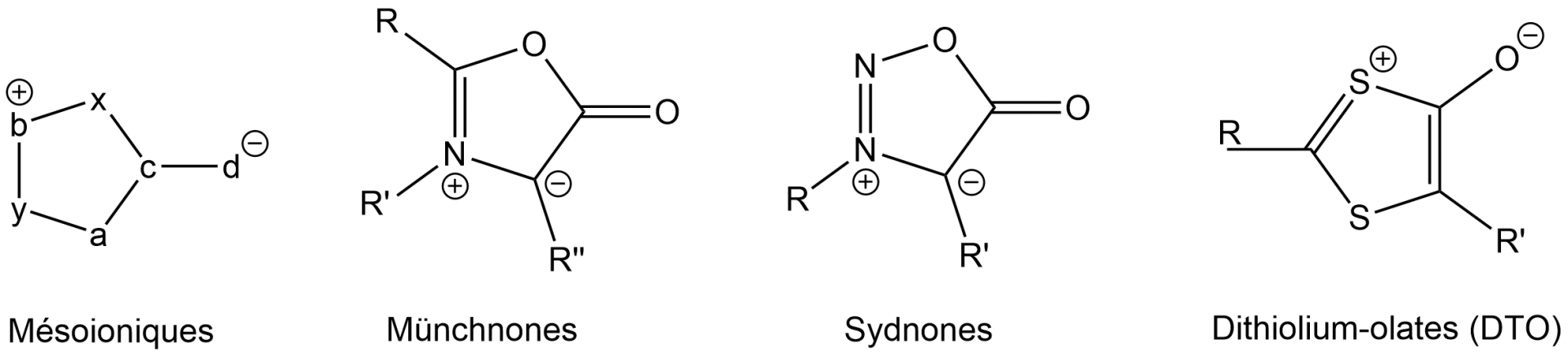
La chimie bioorthogonale développe des réactions n’interférant pas avec les fonctions chimiques présentes sur les biomolécules. Sa sélectivité exceptionnelle permet de réaliser des réactions chimiques non naturelles dans des milieux biologiques complexes et ainsi d’envisager des applications thérapeutiques innovantes. Ces réactions sont souvent inspirées de la cycloaddition de Huisgen catalysée par le cuivre (CuAAC). Les auteurs ont également mis à profit la chimie des composés mésoioniques (structures hétérocycliques zwitterioniques), comme les sydnones, ayant permis des ligations bioorthogonales. Ils présentent également un bel exemple de libération contrôlée du contenu d’une micelle au sein d’une tumeur de souris.
Janvier 2022 : la chimie biosourcée
Les acides p-hydroxycinnamiques, des synthons biosourcés de choix
L'Actualité Chimique, janvier 2022, p. 9-14.
F. Allais
Les acides p-hydroxycinnamiques (p-HCA) sont des dérivés phénoliques d’origine naturelle à haute valeur ajoutée. L’article présente notamment comment extraire ces composés de la biomasse (où de nombreux esters de ces acides sont présents) ou comment y accéder par condensation de Knoevenagel-Doebner.
Des séquences réactionnelles sont proposées, avec une diversité de structures et de réactions pouvant aider à la conception d’un problème de chimie organique.
Construire des molécules originales par double réaction « click »
L'Actualité Chimique, janvier 2022, p. 59-60.
D. Audisio, F. Taran
Un court article « Un point sur… » (disponible gratuitement) qui complète le document de décembre 2021 co-rédigé par F. Taran. Des réactions élégantes de « chimie click », sur des structures élaborées, illustrent tout le potentiel de ces réactions de cycloaddition en milieu biologique en raison de leur bio-orthogonalité.
Par ailleurs, la description de dipôles utilisés dans ces réactions peut permettre d’élaborer de belles questions sur l’écriture de formules mésomères originales.
Le Bup
Toxicité du permanganate de potassium
Le BUP, Décembre 2021, n° 1039, p 1137
E. Antonot
S’il fallait un article pour apprendre à lire des données de sécurité, ce serait celui-là ! L’auteure, qui a régulièrement fait bénéficier les collègues de son expertise en matière de sécurité au laboratoire de chimie, explique où et comment obtenir des données actualisées, comment les décortiquer. Un article essentiel !
Le numéro de janvier 2022 reprend une série d’articles relatifs à la production de dihydrogène, initialement parus dans l’Actualité Chimique d’octobre 2021. Le lecteur pourra se référer à la précédente revue de presse.
Deux articles qui n’avaient pas été présentés lors de la précédente revue de presse sont ici abordés.
Les systèmes d’électrolyse de l’eau à membrane échangeuse de protons
Le BUP, Janvier 2022, n° 1040, p 29
S. Germe, F. Fouda-Onana, S. Rosini
L’article fait le point sur les procédés d’électrolyse d’eau à membrane échangeuses de protons. Il fournit de nombreux éléments techniques (nature des électrodes, etc.) et chiffrés (coût énergétique de fonctionnement, production de dihydrogène) qui peuvent servir à illustrer un exercice ou un problème.
L’hydrogène naturel, une nouvelle source d’énergie renouvelable
Le BUP, Janvier 2022, n° 1040, p 63
V. Zgonnik
En complément des méthodes de production de dihydrogène par électrolyse de l’eau, certains chercheurs s’intéressent au dihydrogène produit naturellement sur Terre, par des processus inorganiques ou biologiques. Ce court article donne quelques repères sur ces sources de dihydrogène.
Journal of Chemical Education
Aldol Condensation Reaction Rate Demonstrates Steric and Electronic Substituent Effects in the Organic Chemistry Lab
J. Chem. Educ. 2021, 98, 1732-1735 (mai 2021)
Les condensations de deux cétones (propanone et cyclohexanone) avec trois aldéhydes (benzaldéhyde, 4-fluorobenzaldéhyde, 4-méthylbenzaldéhyde et 4-méthoxybenzaldéhyde), sont comparées afin de mettre en évidence des effets électroniques et stériques sur la cinétique de la réaction. Cette comparaison est réalisée très simplement de manière semi-quantitative en chronométrant les changements d’aspect du mélange réactionnel. Les différents produits sont isolés, purifiés par recristallisation et caractérisés par mesure de température de fusion. En complément, un suivi cinétique plus quantitatif est proposé par spectrophotométrie UV.
Cette série d’expériences peut être intéressante en travaux pratiques comme pour servir de base à un exercice.
Biginelli Reaction and β‐Secretase Inhibition: A Multicomponent Reaction as a Friendly Educational Approach to Bioactive Compounds
J. Chem. Educ. 2021, 98, 1756-1761 (mai 2021)
Cet article décrit des séries d’expériences à deux niveaux différents. Il s’agit de synthèses basées sur la réaction multicomposants de Biginelli avec pour objectif d’obtenir des espèces possédant des propriétés inhibitrices d’une enzyme.
Dans la série la plus simple, trois synthèses mettant en jeu la réaction de Biginelli sont réalisées avec comme réactifs l’acétoacétate d’éthyle, l’urée et trois aldéhydes différents. Les produits obtenus sont caractérisés par spectrométrie de masse et de RMN et par mesure de température de fusion.
La suite de l’article, destinée à des étudiants de niveau plus avancé, décrit des synthèses en phase supportée selon une approche combinatoire, ainsi que les tests in vitro de l’activité biologique des produits formés.
The Hunt for Maya Purple: Revisiting Ancient Pigments Syntheses and Properties
J. Chem. Educ. 2021, 98, 1389-1396 (avril 2021)
Dans cet article, trois collègues de l’Université de Montpellier décrivent la synthèse de pigments de différentes couleurs dérivés de l’indigo. Trois réactifs différents dérivés du 2-nitrobenzaldéhyde sont utilisés. Les pigments obtenus sont utilisés de manière classique pour la teinture d’échantillons textiles par imprégnation par la forme leuco.
La suite de l’article décrit des expériences nécessitant un équipement plus spécialisé : une synthèse hydrothermale, dans un four à micro-ondes de laboratoire, de pigments dérivés est décrite à partir des différents indigos obtenus et de sépiolite. Les différents pigments obtenus sont caractérisés par spectrophotométrie (mesure de réflectance) et par thermogravimétrie.
Synthesis and Analytical Characterization of Purpurogallin: A Pharmacologically Active Constituent of Oak Galls
J. Chem. Educ. 2022, 99, 983-993 (février 2022)
La purpurogalline est un colorant naturel rouge-orangé qui semble présenter une activité biologique intéressante. L’article décrit sa synthèse par oxydation du pyrogallol par l’iodate de sodium. Le produit est recristallisé et caractérisé par CCM, IR, RMN 1D et 2D, spectrométrie de masse.
Le protocole de synthèse est très simple mais le mécanisme réactionnel est complexe, les analyses sont riches et très détaillées. La contextualisation est intéressante (utilisation historique dans des encres, activité biologique du produit).
Himic Anhydride: A Retro Diels−Alder Reaction for the Organic Laboratory and an Accompanying NMR Study
J. Chem. Educ. 2021, 98, 4013-4016 (décembre 2021)
Le stéréoisomère endo de la réaction de Diels-Alder entre le cyclopentadiene et l’anhydride maléique est converti en stéréoisomère exo par chauffage à haute température sans solvant suivi d’une recristallisation dans le toluène. Le produit est caractérisé par RMN et par mesure de la température de fusion. Les proportions endo/exo dans un produit brut ou partiellement purifié sont déterminées par RMN et l’influence de ces proportions sur la température de fusion mesurée est détaillée.
Cet article semble peu adapté à une adaptation en travaux pratiques mais peut servir de base à la rédaction d’un exercice.
Médiachimie
Dans la rubrique des « ZOOM SUR… » :
- Les derniers résultats de la production d’hydrogène « décarboné » (JP Foulon et F. Brénon)
Une compilation en lien avec certains articles de l’Actualité chimique d’octobre 2021, du colloque Chimie et énergies nouvelles de février 2021 et du colloque Défis de la chimie « Hydrogène décarboné : enjeux et solutions ? de juin 2019.
- L’insuline et ses modes de production (L. Amann et F. Brénon)
À l’occasion des 100 ans de la première administration de l’insuline à un patient, sous forme d’extrait de pancréas, un tour d’horizon, au cours de ce siècle, des différents modes d’obtention puis de synthèse par génie génétique et modification chimique de l’insuline.
QUESTIONS DU MOIS
Ou comment remplacer le bleu patenté dans les bonbons bleus.
Des réactions acido-basiques et des précautions à prendre.
Des Idées plein la Tech
PROSE, de l'énergie dans l'eau sale présentation des PRocédés biOtechnologique au Service de l’Environnement pour donner de l’avenir aux déchets, en particulier la bioélectrochimie. Vidéo tournée à l’INRAE.
Colloque Chimie et énergies nouvelles Les versions écrites et les vidéos des conférences du colloque « Chimie et énergies nouvelles » de février 2021 sont en ligne.
Colloque Chimie et agriculture durable de novembre 2021 : les vidéos des conférences sont en ligne sur la chaine you tube de Mediachimie
ÉDITORIAUX
Les plus récents sont à retrouver ici.
- Le nucléaire devenu « vert » ?
- Que faire des pales d’éoliennes ?
- Le Plomb 212 pour une nouvelle radiothérapie ciblée
FORMATION, MÉTIERS et ORIENTATION
Pour aider les étudiants dans leurs choix : Espace métiers
Pour des exemples de métiers qu’exercent des chimistes aussi bien dans l’industrie chimique que dans d’autres secteurs d’activité ou de production, voir les fiches « Les chimistes dans … » et les fiches orientation Nathan / Mediachimie.
Pour aider à l’information des étudiants et élèves, la rubrique des réponses à vos questions sont toutes relatives aux métiers, débouchés et formations.








