Cette revue de presse est le fruit des lectures de collègues :
Julien Lalande (le BUP), Françoise Brénon (Médiachimie), Laurent Bringel (Journal of Chemical Education) et Sylvain Clède (l’Actualité Chimique).
Nous vous souhaitons de bonnes fêtes et une bonne lecture !
Le BUP
Le curcuma : un indicateur coloré acido-basique du quotidien –
Partie A - Étude des propriétés acido-basiques
Le Bup, novembre 2023, N° 1058, p. 917-928
A. Caramanna, L. Estournet, I. Mezghani, A. Pollien, J. Piard et L. Barreau
Article du mois en libre accès, ici.
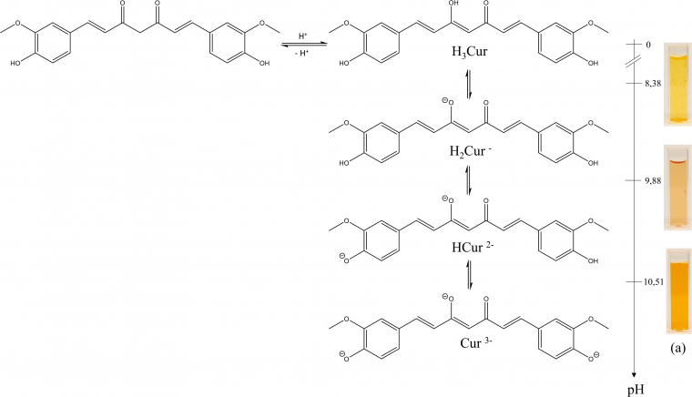
Une fois solubilisé, le curcuma confère à sa solution des couleurs différentes selon le pH de celle-ci, du fait de la présence de différentes formes acido-basiques du curcuminoïde majoritaire, la curcumine notée H3Cur (figure ci-après). Cette propriété en fait un excellent candidat pour une utilisation comme indicateur coloré acido-basique. Dans cet article, les pKa de deux couples acido-basiques du curcuma sont déterminés par spectrophotométrie UV-visible dans un milieu dont le pH est contrôlé finement grâce à l’utilisation d’un tampon universel. Plusieurs utilisations pratiques du curcuma comme indicateur coloré sont détaillées dans la Partie B de cette étude, qui seront publiées dans le numéro de décembre 2023.
Les solutions préparées dans un tampon universel par ajout progressif de soude à 32 %. Les valeurs de pKa sont celles données dans la littérature
Les auteurs mettent en œuvre une méthode spectroscopique en mesurant l’absorbance d’une solution de curcuma en fonction du pH, à l’aide d’un « tampon universel » à base d’acide acétique, d’acide phosphorique et d’acide borique dont le pH est ajusté à l’aide d’une solution concentrée d’hydroxyde de sodium. Voici l’évolution du spectre de la solution en fonction du pH :
La difficulté de la détermination expérimentale des valeurs des pKa repose sur le fait que ceux-ci sont très voisins. Il est donc difficile de ne disposer que d’une seule forme en solution à un pH donné, sauf pour H3Cur (forme la plus acide) et Cur3– (forme la plus basique). Par conséquent, seuls deux des trois pKa sont déterminés expérimentalement : pKa1 (H3Cur / H2Cur–) et pKa3 (HCur2– / Cur3–). En outre, les couleurs des solutions varient relativement peu avec le pH de celles-ci.
Cet article pourra servir de base à une séance de travaux pratiques ou à une étude en exercice.
L’expérience pourrait être couplée avec l’extraction de la curcumine du curcuma.
 
Quand l’eau de Javel et l’eau oxygénée produisent de la lumière : protocoles simples pour tous et toutes d’obtention d’oxygène singulet
Le Bup, novembre 2023, N° 1058, p. 929-943
E. Masson, G. Colomer, J. El Batti, L. Barreau, J. Piard
Article disponible ici.
Dans cet article, les auteurs décrivent plusieurs protocoles permettant d’observer, au laboratoire comme à la maison, la chimiluminescence du dioxygène singulet résultant de la collision de deux des molécules correspondantes et de la désexcitation du dimère ainsi formé.
L’objectif est de produire, à l’aide de différents protocoles, du dioxygène O2 dans son état 1Δg à une concentration suffisante pour être capable d’observer la luminescence rouge (634 et 703 nm). Pour cela, les auteurs mettent en œuvre la réaction chimique entre les ions hypochlorite et le peroxyde d’hydrogène. Les ions hypochlorite sont issus soit d’eau de Javel commerciale, soit de pastilles elles aussi commerciales de dichloroisocyanurate de sodium. Le peroxyde d’hydrogène est fourni soit par l’eau oxygénée disponible en pharmacie ou en supermarché, soit par la solution concentrée à 130 volumes disponible au laboratoire. Divers protocoles sont présentés, permettant d’observer le phénomène dans différentes conditions.
Une étude quantitative à l’aide d’un spectrofluorimètre fonctionnant en mode chimiluminescence a aussi été réalisée.
Les informations fournies dans l’article permettent de présenter l’expérience en cours, pour illustrer le chapitre sur la structure de la matière, ou en démonstration.
L’Actualité Chimique
Numéro de novembre
Sonochemistry and sonocatalysis : Harnessing sound for enhanced catalytic-assisted reactions
L’Actualité Chimique, novembre 2023, p. 21-25.
P. N. Amaniampong
La chimie par ultrasons — ou sonochimie — exploite le phénomène de cavitation pour générer des pressions et températures localement très élevées modifiant considérablement les propriétés physico-chimiques du milieu. Les bulles créées sont alors de véritables réacteurs chimiques miniatures : dans l’eau des radicaux H• et HO• sont produits, pouvant initier des réactions originales. L’auteur présente ainsi des conversions rédox sur des solutions aqueuses de glucose, en présence ou non de catalyseurs solides. Un document pouvant servir de point de départ à un projet de TIPE.
Numéro de décembre
Ce numéro comporte un dossier « biomarqueurs et médecine du futur »
Utiliser le xénon pour l’étude de la barrière hémato-encéphalique ?
L’Actualité Chimique, décembre 2023, p. 54-61.
F. Nghiem, C. Boutin, A. Mabondzo, P. Berthault
La barrière hémato-encéphalique (BHE) garantit l’intégrité et le bon fonctionnement du système nerveux central. C’est une frontière efficace entre le sang et le cerveau, permettant une régulation fine des échanges et protégeant le cortex des agents pathogènes. La perméabilité de cette barrière joue ainsi un rôle clé dans le traitement des pathologies liées au cerveau. En effet bon nombre de candidats-médicaments valident les tests in vitro sur cellules neuronales mais sont par la suite inefficaces in vivo car rejetés par la BHE.
Le xénon est un gaz rare biocompatible : il est ainsi utilisé depuis de nombreuses années en tant qu’anesthésiant par inhalation. Son isotope 129 présente un spin nucléaire non nul (½) et une abondance naturelle relativement importante (26 %) permettant une étude RMN à partir de cet élément. Étant très polarisable, le xénon présente une large gamme de déplacements chimiques (près de 350 ppm), avec une grande sensibilité à son environnement chimique donc biologique. Il est ainsi possible de l’utiliser pour caractériser des cinétiques de transfert à travers la BHE, afin d’en caractériser la perméabilité et de mieux comprendre les processus de régulation qu’elle opère.
Un article riche et pédagogique, illustré de nombreux points théoriques et d’applications pluridisciplinaires physique-chimie-biologie, pouvant éclairer tout autant un cours sur la RMN que celui présentant la structure des membranes phospholipidiques.
Marquages au CO2 radioactif pour l’imagerie médicale
L’Actualité Chimique, décembre 2023, p. 18-22.
A. Hauwelle, D. Audisio, F. Caillé
Le dioxyde de carbone est la principale source du carbone 11C, un radio-isotope utilisé en imagerie tomographique à émission de positons (TEP). Un article pour découvrir (ou faire découvrir aux élèves) le concept de marquage isotopique, notamment appliqué au fragment urée, un motif fréquemment rencontré dans les molécules d’intérêt pharmaceutique.
The Journal of Chemical Education
Nous proposons ici une sélection d’articles publiés en 2023 sur le thème de la synthèse organique.
Reduction of Vanillin Isobutyrate: An Infrared Spectroscopy Structure Determination Experiment
Bendorf H. et al., J. Chem. Educ. 2023, 100, 2003−2008 (mai 2023)
La réduction chimiosélective par NaBH4 de différents composés bifonctionnels est étudiée et les auteurs ont sélectionné l’isobutyrate de vanilline pour un TP en raison entre autres de la facilité de validation de la chimiosélectivité par l’étude du spectre IR du produit. Cet article devrait pouvoir servir de base à la conception d’un TP.
A Novel and Simple Experimental Procedure for Synthesizing, Purifying, and Identifying Coumarin in Undergraduate Heterocyclic Chemistry Laboratories
García-Aranda, M. I et al, J. Chem. Educ. 2023, 100, 4001−4006 (octobre 2023)
La synthèse de la coumarine proposée est très rapide (15 minutes de reflux puis évaporation du solvant), un suivi par CCM mettant en évidence la fluorescence du produit ainsi qu’une purification par chromatographie flash sur colonne sont proposés. La toxicité de la coumarine (cancérigène suspecté) ainsi que la durée de la purification sont à prendre en compte avant d’envisager cette synthèse en travaux pratiques.
An Updated Simple SN2 Reaction for the Undergraduate Organic Laboratory
Khuong, K. S. et al, J. Chem. Educ. 2023, 100, 376−379 (janvier 2023)
Cette variante de la synthèse de Williamson avec un tosylate à la place d’un halogénoalcane présente plusieurs avantages : toxicité raisonnable de l’électrophile, possibilité de suivi par CCM avec révélation UV, discussions sur l’utilisation d’un ester sulfonique. Un chauffage d’une heure à reflux dans l’éthanol permet d’obtenir le produit qui peut éventuellement être recristallisé. Cet article pourrait servir de base à la conception d’un TP.
Quinone Synthesis and a Visual Introduction to Column Chromatography: An Undergraduate Experiment
Pearson, D. L. et al., J. Chem. Educ. 2022, 99, 3731−3734 (septembre 2023)
La transformation du chloranil jaune en quinone pourpre par réaction avec une solution aqueuse concentrée d'ammoniac sert de base à un TP d’introduction de la chromatographie sur colonne. Cet exemple peut aussi être intéressant pour l’étude de la CCM.
Updating Dimedone - The Humble Hero of the Organic Laboratory
Wright, A. J. et al., J. Chem. Educ. 2023, 100, 3025−3028 (août 2023)
La synthèse classique de la dimédone est décrite ici dans le contexte d’un TP sur une journée entière pouvant être fractionné en deux séances.
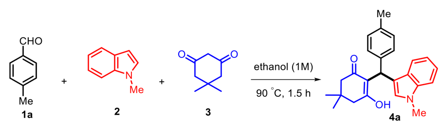
Green Synthetic Approach to Indole-Substituted Methane Derivatives via Multi-Component Reaction
Zhang, S. et al., J. Chem. Educ. 2023, 100, 4020−4024 (octobre 2023)
L’article décrit une réaction à trois composants faisant intervenir un aldéhyde aromatique, un indole et la dimédone. Le mode opératoire est très simple, l’avancement peut être suivi par CCM et les spectres de RMN et infrarouge sont fournis. Plusieurs réactifs différents ont été testés, le budget et le rendement dépendent des substituants présents sur l’aldéhyde et l’indole.
Batch and Flow Synthesis of 5‐Hydroxymethylfurfural (HMF) from Fructose as a Bioplatform Intermediate: An Experiment for the Organic or Analytical Laboratory
Simeonov, S. P. et al., J. Chem. Educ. 2013, 90, 1373−1375 (décembre 2023)
La déshydratation du fructose en 5-hydroxyméthylfurfural est utilisée pour illustrer une discussion sur les réactifs biosourcés en synthèse organique. Elle est réalisée en réacteur classique discontinu et en réacteur continu.
Médiachimie
Questions du mois
Elles sont regroupées ici. Un exemple : Qu'entend-on par biochar ? J.P. Foulon
Les Zoom sur
Ils sont regroupés ici. Quelques exemples :
- Les radicaux : quelques aspects particuliers J.P. Foulon
- Les cristaux de synthèse A. Harari
Conférences
- L’intégralité des conférences, résumés, quiz avant et post colloque en accès libre à la demande, du COLLOQUE « Chimie, Recyclage et Économie Circulaire » de novembre 2023 à la Fondation de la maison de la chimie. Vous trouverez aussi prochainement les questions posées par des élèves et des professeurs et les réponses des conférenciers. L’ouvrage en pdf sera disponible ultérieurement
Espace Métiers
Un article pour éclairer le choix des étudiants : « les 10 bonnes raisons de devenir chimiste » F. Brénon et G. Roussel
Éditoriaux
Les éditoriaux récents sont à retrouver ici. Quelques exemples :
La transition énergétique ne tient qu’à un fil : les réseaux électriques J.Cl Bernier
Deux enfants terribles pour le climat, el Niño et La Niña J.Cl Bernier
 
    

















 
               
              