Cette revue de presse est le fruit des lectures de collègues
Nous vous souhaitons une bonne lecture !
Journal of Chemical Education (JCE) — janvier à décembre 2024
Thème : quelques expériences utilisant la spectrophotométrie UV/visible
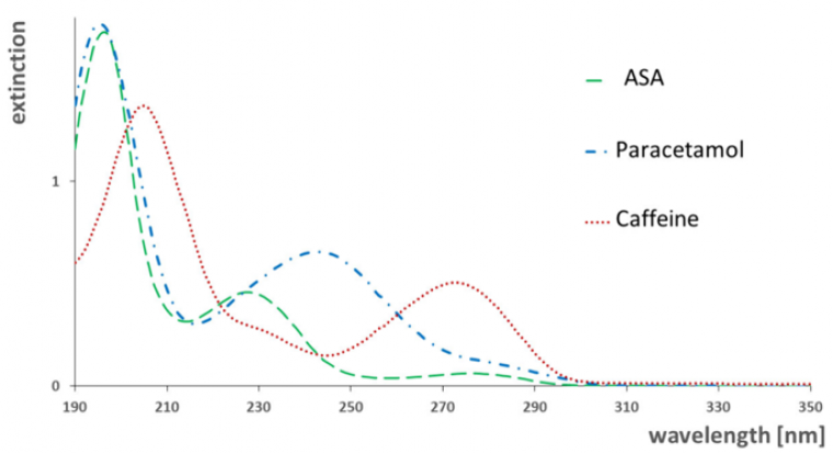
Complementary Instrumental Techniques Applied to Pain Relieving Tablets in an Undergraduate Laboratory Experiment
K. Adels al., J. Chem. Educ. 2024, 101, 4370-4380 (Octobre 2024)
L’analyse d’un médicament contenant du paracétamol, de l’acide acétylsalicylique et de la caféine par spectrophotométrie UV, RMN du proton, spectroscopie infrarouge et HPLC permet de montrer l’intérêt et les limites de chaque technique d’analyse ainsi que leur complémentarité.
The Interplay of Hydration and Hydrolysis upon the Keto−Enol Tautomerism of β‐Diketones
C. Zhang et al., J. Chem. Educ. 2024, 101, 5460−5467 (Décembre 2024)
Cet article étudie plusieurs réactions mettant en jeu l’acétylacétone ainsi que deux dérivés de celle-ci substitués sur le carbone central : étude thermodynamique et cinétique de la tautomérie céto-énolique, mais aussi étude cinétique de l’hydratation et de l’hydrolyse de la dicétone. Les techniques analytiques utilisées sont la RMN du proton ainsi que la spectrophotométrie UV.
Exploring the Impact of Dissolved Organic Matter on Nitrate Detection: Developing a Lab Experiment Using Standard Ultraviolet Spectrophotometry
Q. Huang et al., J. Chem. Educ. 2024, 101, 2030−2038 (Mai 2024)
Cet article étudie le dosage des ions nitrate par spectrophotométrie UV en approfondissant le problème des interférences avec l’absorbance due aux espèces organiques dissoutes dans l’eau analysée.
Quantification of Iron(II) in Supplements Using Redox Titration and UV−Visible Spectroscopy
R. Quinones et al., J. Chem. Educ. 2024, 101, 5480−5491 (Décembre 2024)
Deux techniques de dosage des ions fer (II) présents dans des compléments alimentaires sont comparées dans le cadre de séances de travaux pratiques : titrage rédox par les ions permanganate et dosage spectrophotométrique sous forme de complexe avec l’orthophénanthroline.
Teaching Kinetics of the Traffic Light Reaction
S. C. Habibi et al., J. Chem. Educ. 2024, 101, 2505−2512 (Juin 2024)
Les auteurs proposent une étude cinétique de l’expérience dite du « feu tricolore », analogue à l’expérience de la bouteille bleue. La réduction par le glucose du carmin d’indigo en milieu basique fait passer la solution du vert au rouge puis au jaune. Les deux réductions successives sont suivies par spectrophotométrie.
Veille scientifique réalisée sur Internet
Vignettes in the history of chemistry.
What is the origin of the Gibbs–Helmholtz equation?
Article en accès libre, écrit par un chimiste et historien récemment décédé, grand contributeur du Journal of Chemical Education. L’article s’intéresse à l’origine historique de l’équation de
Gibbs-Helmholtz et, plus précisément, aux rôles de chacun de ces deux immenses chimistes dans son établissement. Il indique entre autres que la littérature recense au moins 12 équations portant ce nom…
A solution to the anti-Bredt olefin synthesis problem
La règle de Bredt : inviolable ? Non…
Dans cet article publié dans Science et, malheureusement, pas en accès libre, les auteurs proposent une solution élégante pour obtenir des composés polycycliques insaturés possédant une double liaison C=C « en tête de pont », donc violant l’une des plus anciennes « règles » de la chimie organique, la règle de Bredt énoncée par le sus-nommé en 1925 [J. Bredt, Über sterische Hinderung in Brückenringen (Bredtsche Regel) und über die meso-trans-Stellung in kondensierten Ringsystemen des Hexamethylens. Justus Liebigs Ann. Chem. 437, 1–13, 1924].
L’IUPAC, dans le Goldbook, mentionne la règle de Bredt sous la forme suivante :
A double bond cannot be placed with one terminus at the bridgehead of a bridged ring system unless the rings are large enough to accommodate the double bond without excessive strain. For example, while bicyclo[2.2.1]hept-1-ene is only capable of existence as a transient, its higher homologues having a double bond at the bridgehead position have been isolated: e.g.
Les auteurs de la publication ont montré que de telles espèces outrepassant la règle de Bredt sont envisageables, soit en tant qu’intermédiaires à courte durée de vie, soit en tant que molécules stables. Leur nouvelle méthode est décrite ci-après sur un exemple et permet l’élaboration de composés assez exotiques ! Les résultats sont validés par des calculs en DFT.
L’Actualité Chimique — numéro de novembre/décembre 2024
Un numéro thématique consacré à la chimie bioinorganique, où l’on découvrira tout le dynamisme français dans ce domaine.
Coordination : Valérie Marvaud, Benoît Bertrand, Christelle Hureau, Christophe Léger, Wadih Gattas, Isabelle Michaud-Soret, Hélène C. Bertrand, Vincent Lebrun et Marine Desage-El Murr.
Thèmes abordés dans ce dossier :
- Mécanismes moléculaires autour des métaux : du vivant aux applications
- La chimie bionorganique pour la santé : un panorama français
- L’environnement et les métaux
- Mécanismes du vivant et catalyse
- Les méthodes pour la chimie bioinorganique
Voici quatre exemples de structures et techniques parmi les riches articles de ce dossier, pouvant illustrer le cours de chimie inorganique et contribuer à la rédaction d’exercices ou problèmes :
Les composés semi-sandwich de ruthénium comme anticancéreux
A. Pitto-Barry
L'actualité Chimique, novembre-décembre 2024, p.22
Mimer la nickel superoxyde dismutase pour élucider son mécanisme
S. Hostachy, C. Duboc, P. Delangle
L’Actualité Chimique, novembre-décembre 2024, p. 19
Chémobiologie inorganique : des techniques d’études innovantes
H. C. Bertrand, N. Delsuc, C. Policar
L’Actualité Chimique, novembre-décembre 2024, p. 60
Un intermédiaire [4Fe-5S] comme agent actif de sulfuration dans des enzymes catalysant la synthèse
de nucléosides soufrés
S. Gervason, S. Sen, B. Golinelli-Pimpaneau
L’Actualité Chimique, novembre-décembre 2024, p. 39
Design des protéines et prédiction de leurs structures, deux facettes d’une même médaille
L’Actualité Chimique, novembre-décembre 2024, p. 4-5
Un article pour découvrir les avancées considérables permises à la suite des travaux des trois lauréats du prix Nobel de Chimie 2024 : la conception de protéines innovantes jamais observées dans la nature et la prédiction de structures tridimensionnelles de protéines en connaissant seulement leur séquence d’acides aminés.
Médiachimie
Les dernières nouveautés du site Médiachimie pouvant intéresser les professeurs de chimie des classes préparatoires et du premier cycle universitaire :
Questions du mois et zooms
Parmi les QUESTIONS DU MOIS
- Quelles différences entre farines et fécules ? Et comment choisir ? par N. Moreau et F. Brénon
La composition de leurs amidons est expliquée ainsi que leur dégradation au cours de la digestion.
Parmi les ZOOMS
- L'archéologie du bois : quelques exemples de conservation et de datations de bois archéologiques par Jean-Pierre Foulon
Vidéos
Vidéo BLABLAREAU / MEDIACHIMIE
La fabrication de l'aluminium avec son bilan énergétique et le dégagement de gaz à effet de serre associé sont rappelés pour comprendre l’intérêt de son recyclage.
Vidéo PETITES HISTOIRES DE LA CHIMIE
F. Demerliac et Philippe Walter
Comment le chimiste Pierre Potier parvient à extraire des feuilles de l'if européen des molécules pour conduire à l'un des médicaments anticancéreux les plus utilisés dans le monde.
Quiz
Editorial
Le paracétamol, une molécule bien française ? par J Cl. Bernier

















