La toxicité létale de la mélamine est faible, proche de celle du sel de cuisine. Néanmoins sa toxicité, à la suite d'exposition chronique, est importante. En particulier, on observe, à la suite d'ingestion répétée de mélamine, une chute de la fertilité ainsi que de sérieuses complications rénales, notamment par la formation de calculs rénaux.
Structure
La mélamine ou 1,3,5-triazine-2,4,6-triamine en nomenclature IUPAC est un composé organique de formule brute C3H6N6. Elle possède une teneur élevée en atome d'azote - 66 % en masse. Sa structure fait également apparaître un noyau aromatique - délocalisation de 6 électrons au niveau du cycle - rendant la molécule plane.
Toxicité
La toxicité létale1 de la mélamine est faible, proche de celle du sel de cuisine. Néanmoins sa toxicité, à la suite d'exposition chronique, est importante. En particulier, on observe, à la suite d'ingestion répétée de mélamine, une chute de la fertilité ainsi que de sérieuses complications rénales, notamment par la formation de calculs rénaux.
Plusieurs caractéristiques de cette molécule peuvent expliquer sa toxicité de par sa haute réactivité avec les molécules existantes dans le corps humain :
-
sa planéité : une molécule plane pourrait plus facilement s'intercaler au sein des membranes cellulaires ou de l'ADN afin de perturber leur fonctionnement.
-
son cycle aromatique : la grande densité d'électrons délocalisés au sein de la mélamine la rend très réactive par rapport aux phénomènes d'oxydo-réduction. On peut aussi observer une fixation au niveau des poches des protéines riches en noyaux aromatiques.
-
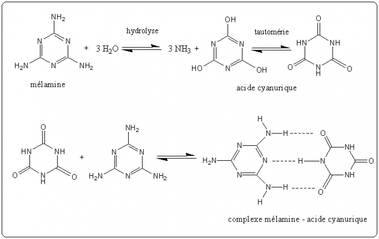
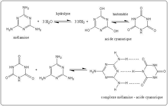
ses fonctions amine : les amines interagissent facilement avec les fonctions carbonylées, acides et amides des molécules présentes dans le corps humain à l'état naturel ou non. En particulier, en présence d'acide cyanurique, on observe la formation d'un complexe cristallin très peu soluble dans l'eau (voir figure 2), responsable des insuffisances rénales (calculs) et urinaires observées. L'acide cyanurique - produit d'hydrolyse de la mélamine - est souvent présent avec la mélamine elle-même, mais est également utilisé dans le traitement de l'eau par exemple ; l'acide cyanurique peut s'accumuler dans le corps, notamment les reins2.
Fraude à la mélamine
Lorsqu'un lait est insuffisamment riche en protéines, à la suite par exemple d'une dilution avec de l'eau afin d'accroître son volume, l'ajout de mélamine permet de donner l'illusion d'une présence élevée en protéines lors des analyses en laboratoire. En effet, les méthodes analytiques employées mesurent le taux d'azote contenu dans l'échantillon afin de le relier au taux de protéines. On se rend alors compte que l'ajout d'un composé aussi riche en azote - 66% en masse - permet de frauder ces analyses facilement et à moindre coût.
De plus, la mélamine utilisée n'est certainement pas pure (car trop chère) et contient donc les résidus d'hydrolyse dont l'acide cyanurique. Là encore, nous avons vu les dommages provoqués par cette association (voir figure 2).

