Cet article présente les principaux constituants du vin, sans néanmoins viser une liste exhaustive.
Qu’y a-t-il dans un verre de vin ?
Evidemment, il y a de l’eau. Elle provient des fruits et représente 70 à 80 % de la masse finale du vin. On trouve ensuite beaucoup d’autres molécules naturelles, que l’on peut classer en trois grandes familles principales : les alcools, les sucres et les acides (et les pluriels sont importants !).
Les alcools
L'éthanol
L’éthanol (CH3CH2OH) est produit lors de la vinification par l’action de champignons microscopiques, appelés levures, sur les molécules de sucre présentes naturellement dans les fruits. La principale espèce de levure est Saccharomyces cerevisiae (Figure 1). Ces levures sont naturellement présentes sur la peau des fruits (on parle alors de levures indigènes) mais le vigneron peut être amené à en ajouter lors de la vinification, si nécessaire (on parle alors de levures exogènes).
Elles se nourrissent des sucres comme source de carbone et d’énergie pour leur croissance et leur multiplication. Elles rejettent lors de ce processus d’autres molécules organiques ou inorganiques plus simples : on appelle ce phénomène la fermentation. Celle-ci doit se dérouler dans un milieu dépourvu de dioxygène. En effet, la levure est capable de respiration aérobie en présence du dioxygène de l’air, ce qui entraîne une oxydation totale des sucres pour former du dioxyde de carbone (CO2) et de l’eau (H2O). Ce phénomène est similaire à la respiration des animaux et ne produit pas d’alcool. La fermentation alcoolique est donc un processus anaérobie. Tout d’abord, une série de réactions enzymatiques, appelée glycolyse, transforme une molécule de D-glucose en deux ions pyruvate (Figure 2).
Celui-ci est ensuite transformé par une enzyme (la pyruvate décarboxylase) en éthanal et en dioxyde de carbone CO2 (Figure 3). L’éthanal est ensuite réduit en éthanol par l’enzyme alcool déshydrogénase.
Le bilan global de la fermentation alcoolique est donné par l’équation de Gay-Lussac :
C6H12O6 (glucose) → 2 CH3CH2OH + 2 CO2
La proportion d’alcool (c’est-à-dire d’éthanol) dans une boisson est exprimée en degré d’alcool qui représente le pourcentage volumique d’éthanol par rapport au volume total de boisson, à 20 °C. Ainsi, un litre de vin à 13° contient, à une température de 20 °C, 130 mL d’éthanol pour environ 870 mL d’eau. La masse volumique de l’éthanol est, à la même température, de 0,789 g/mL, donc cette boisson contient 103 g d’éthanol. On s’aperçoit ainsi que plus le degré d’alcool d’une boisson augmente, plus la masse d’un litre de cette boisson diminue.
A partir d’une certaine quantité, l’éthanol devient un poison pour les organismes vivants, même pour les levures qui l’ont produit. C’est pourquoi les boissons alcoolisées issues de la fermentation (vin, bière, cidre) ont un degré d’alcool maximal aux alentours de 14 à 16°. Pour obtenir des boissons plus alccolisées, ou spiritueuses, les boissons fermentées sont distillées, de façon à augmenter leur concentration en éthanol.
Le glycérol
Au cours de la fermentation, les levures produisent, outre l’éthanol et le dioxyde de carbone, divers sous-produits. Parmi eux, le glycérol (ou glycérine CH(OH)(CH2OH)2), est le plus abondant : sa concentration dans le vin dépend fortement du type de levure utilisé, de la teneur en sucre dans le moût et du cépage ; elle peut atteindre 10 g/L de vin.
Le glycérol (Figure 4) est une substance incolore et visqueuse, inoffensive pour l’organisme, intervenant avec les acides gras dans la formation des lipides (phospholipides membranaires et triglycérides). Le glycérol est dépourvu de propriétés aromatiques mais confère un caractère onctueux au vin.
Le méthanol
Le méthanol est un alcool très toxique dont la consommation peut entraîner la cécité, voire la mort. La dose mortelle de méthanol pur est évaluée à 100 mL, soit environ 79 g. Le vin en contient en faible quantité, entre 100 et 300 mg/L : il faudrait donc ingurgiter 790 L de vin pour s’intoxiquer au méthanol (en ayant survécu au coma éthylique)… Sa production lors de la vinification suit un tout autre processus que celle de l’éthanol. Les fruits comme le raisin, et en particulier leurs pépins, contiennent des molécules complexes : les pectines. Ces macro-molécules sont composées d’un assemblage de molécules de sucre ayant une fonction alcool oxydée en acide carboxylique. De plus, 40 à 60 % de ces acides se présentent naturellement sous forme d’ester méthylique. Lors de la vinification, des enzymes issues du raisin et des levures, les pectine méthylestérases, hydrolysent les fonctions ester pour former des fonctions acides carboxyliques qui restent attachées à la chaîne pectinique, et du méthanol (Figure 5).
Les sucres
Glucose et fructose
Le saccharose (ou sucrose) est une molécule composée de deux sucres élémentaires : une molécule de glucose liée à une molécule de fructose (Figure 6). Il est formé dans les feuilles de la vigne lors de la photosynthèse pour stocker les atomes de carbone fournis par le CO2 atmosphérique et l’énergie apportée par le rayonnement solaire. La molécule de saccharose est ensuite hydrolysée : les deux molécules de sucre qui la composent sont séparées et transportées par la sève jusqu’aux fruits. Contrairement au saccharose, ces deux sucres, une fois isolés, peuvent être consommés par les levures : ils sont dits fermentescibles.
Le glucose est converti plus rapidement en éthanol car la plupart des levures de vinification sont davantage glucophiles que fructophiles, c’est-à-dire que leurs membranes cellulaires présentent une perméabilité supérieure pour le glucose que pour le fructose. Ainsi les sucres restants en fin de vinification sont composés principalement de fructose. Celui-ci, peut également être converti en mannitol (Figure 7) par fermentation mannitique lorsque des bactéries se développent dans la cuve si la température de vinification dépasse une valeur limite (30 à 35°C), mais ce processus n’est pas désiré. C’est la raison pour laquelle la température des cuves doit-être contrôlée lors de la fermentation.
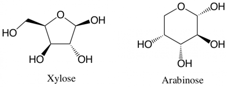
Saccharose, xylose et arabinose
Ce sont des sucres infermentescibles. Ils sont présents sous forme de traces dans le moût puis se retrouvent tels quels dans le vin car ils n’ont pas été consommés par les levures lors de la vinification. Ils sont présents en concentrations faibles dans le vin final (environ 1 g/L). Ils présentent tous un goût sucré plus ou moins prononcé ; certains comme le xylose ou l’arabinose (Figure 8), ne sont pas métabolisés par l’organisme et se retrouvent donc tels quels dans les urines.
La concentration de sucres résiduels (fermentescibles ou non) permet de classer le vin dans quatre catégories. Il sera dit sec s’il reste moins de 4 g/L de sucres, demi-sec entre 4 et 18 g/L, moelleux de 18 à 45 g/L, et enfin liquoreux pour des concentrations résiduelles supérieures à 45 g/L et pouvant atteindre environ 200 g/L !
Les acides
Le vin est une solution acide ayant un pH compris entre 3,2 et 3,8 soit environ celui du jus d’orange. Plusieurs espèces acides coexistent dans le vin, et peuvent se ranger dans deux catégories : les acides organiques possédant un squelette carboné, produits par la machinerie cellulaire de la plante ; et les acides inorganiques issus des minéraux puisés par la plante dans le sol ou ajoutés artificiellement par l’homme lors de la vinification.
Le raisin « sain » contient trois acides organiques principaux : l’acide tartrique, l’acide malique et l’acide citrique. En cas de pourriture noble par le champignon Botrytis cinerea (cf. 6.Un point sur les vins doux ou liquoreux), d’autres acides apparaissent en quantité plus faible, comme l’acide gluconique. La quantité d’acide par litre de vin est très variable selon les cépages.
Acide tartrique
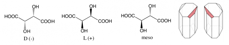
La vigne est la seule plante à produire des quantités non négligeables d’acide tartrique, mais il est également présent à l’état de trace dans l’ananas, le concombre ou la pomme de terre. Le terme tartrique dérive du latin tartarum qui signifie « dépôt ». C’est une molécule chirale, et le raisin contient le stéréoisomère L+ tartrique. C’est d’ailleurs Pasteur qui commença sa carrière de chercheur en séparant sous microscope des cristaux de tartrate gauche L+ et droit D- (Figure 9).
L’acide tartrique est un acide dont la quantité varie peu au cours de la maturation, évoluant autour d’une valeur moyenne constante pour un cépage et une zone culturale donnée. Ensuite, on peut observer une rapide diminution de sa teneur lors de la fermentation : l’acide tartrique précipite alors en hydrogénotartrate de potassium puis en hydrogénotartrate de calcium, suivant l’évolution de la température et du pH, dont on peut retrouver les cristaux au fond d’un verre de vin (Figure 10).
Acide malique
L’acide malique, du latin malum qui signifie « pomme », est omniprésent chez les végétaux. Cet acide est métabolisé en acide lactique et en dioxyde de carbone par les bactéries lactiques comme Oenococcus oeni (Figure 11).
Ce processus biologique, appelé fermentation malolactique, est utilisé de façon universelle pour les vins rouges et mis en œuvre de façon variable pour les vins blanc et rosés (Figure 12).
Elle amène généralement des arômes lactés ou beurrés. En effet, parmi les produits secondaires formés par la fermentation malolactique, il y a la butane-2,3-dione qui, à faible dose, enrichit la palette aromatique du vin avec une note de beurre plutôt agréable. En règle générale, la fermentation malolactique a tendance à accélérer l'évolution d'un vin, tandis que ceux qui l'évitent offrent un plus grand potentiel de garde.
Acide citrique
Particulièrement abondant dans les agrumes, l’acide citrique (Figure 13) se trouve dans presque tous les végétaux.
Sa teneur dans les raisins est faible et peut augmenter dans le cas de la pourriture noble (cf. 6. Un point sur les vins doux ou liquoreux). Cet acide peut être rajouté au vin pour une légère acidification mais la teneur finale reste contrôlée. L’acide citrique peut cependant être dégradé en acide acétique (CH3COOH) qui altère le bouquet du vin : c’est en effet l’acide présent dans le vinaigre.
Les autres constituants du vin
Des anions
On trouve dans le vin plusieurs anions, notamment : des ions chlorure, dans des proportions plus élevées pour les vins issus de raisins élevés au bord de la mer (jusqu’à 1 g/L) ; des ions sulfate, issus du raisin et de l’oxydation progressive des sulfites lors de la maturation du vin (jusqu’à 0,400 g/L) ; des ions phosphate, parfois ajoutés au moment des vendanges pour accélérer la fermentation. En effet, la dégradation du glucose pour aboutir à l’acide pyruvique comporte plusieurs étapes de phosphatation des fonctions alcool.
On y trouve également des ions sulfites SO32- : les étiquettes des bouteilles de vin doivent mentionner leur présence. Ils sont utilisés par les vinificateurs car ils ont un rôle antioxydant et antimicrobien.
Des minéraux
Le potassium est l’élément métallique le plus présent dans le vin, jusqu’à 2 g/L pour les sauternes. On trouve également du sodium, du magnésium, mais aussi du zinc, du cuivre ou du manganèse qui sont essentiels pour les levures, c’est-à-dire apportés par l’environnement extérieur et nécessaires à leur survie et à leur développement lors de la fermentation.
Des acides aminés et des protéines
On trouve des acides aminés provenant des fruits à l’état libre dans le moût, ils servent à alimenter les levures lors de la vinification, puis se retrouvent dans le vin. Les principaux acides aminés dans le jus de raisin sont l’arginine et la proline, mais on en trouve aussi une dizaine d’autres en plus faibles quantités : asparagine, aspartate, glutamate, sérine… L’usage de protéines pour clarifier le vin est également une pratique très ancienne : on fait passer le vin sur des blancs d’œufs, constitués en grande partie d’une protéine appelée albumine, présente également dans le sang, ou sur de la gélatine, pour faire agglomérer les particules en suspension, qui vont ainsi précipiter plus rapidement.
Un point sur les vins doux ou liquoreux
Certains vins présentent un aspect doré, une texture plus onctueuse (presque sirupeuse) et un goût sucré prononcé. Il existe deux pratiques principales d’obtention de ces vins. Les vins liquoreux, comme le Sauternes, sont issus de vendanges tardives de raisins infectés par une maladie qu’on nomme la pourriture noble. Celle-ci est due à un champignon, Botrytis cinerea, qui se développe à la surface du grain (Figure 15).
La présence de ce parasite entraîne de fortes modifications de la composition chimique du fruit : en particulier, il augmente considérablement le taux de sucre et de glycérol (jusqu’à 300 g/L), modifiant ainsi le goût et la texture finale de ces vins. Ils offrent également une palette d’arômes plus chaude et plus confite : miel, fruits mûrs… D’autre part, les vins doux naturels, comme le porto ou le muscat de Rivesaltes, sont obtenus par la technique du mutage : de l’alcool pur est ajouté en cours de vinification pour atteindre directement 15 ou 16° et détruire ainsi les levures. La fermentation alcoolique est interrompue, et le vin conserve alors une plus grande quantité de sucres issus des fruits. Cependant, cette méthode engendre des vins présentant un degré d’alcool plus important que la moyenne, et consommés de ce fait plutôt en apéritif.
Conclusion
Ainsi, le vin est un mélange complexe, contenant un très grand nombre de molécules différentes. On pourra retenir les trois grandes catégories (alcools, sucres et acides) qui, en fonction de leurs proportions relatives, et additionnées aux espèces plus minoritaires et à la large palette d’arômes susceptibles de se développer lors de la vinification, offrent la diversité des vins que nous connaissons : du vin rouge tannique au vin blanc sec, en passant par le sauternes ou le porto…
Bibliographie
- La fermentation malolactique dans les vins, Vincent RENOUF, éditions TEC et DOC.
- Traité d'oenologie (tomes 1 et 2), Pascal RIBEREAU-GAYON, éditions DUNOD.
- Food Chemistry, H.-D. BELITZ, Werner GROSCH, Peter SCHIEBERLE, éditions SPRINGER-VERLAG.
- Connaissance et travail du vin, Jacques BLOUIN, Emile PEYNAUD, éditions DUNOD/LA VIGNE.
- Revue L'Opéron n° 79 (2016-3), Antoin GAUDIN, éditée par l'Union des Professeurs de Physiologie, Biochimie et Microbiologie.














