La peinture à l’huile, dont l’usage s’est généralisé à partir du XVe siècle, est un mélange d’au moins deux composés : un pigment dispersé dans un liant (l’huile). À ce mélange, les peintres ajoutaient éventuellement des médiums, pour en modifier les propriétés physiques : parmi eux se trouvent les megilps et les gumtions, utilisés notamment par les peintres anglais du XIXe siècle, en particulier J. M. W. Turner. Les travaux de recherche sur ces médiums visent à reconstituer en laboratoire les recettes élaborées par les peintres pour les préparer et à mieux comprendre le rôle des principaux composants de ces médiums. L’objectif est d'appréhender la dégradation des peintures à l’huile contenant ces médiums, de manière à proposer des méthodes de conservation ou de restauration adaptées des œuvres contenant des megilps ou des gumtions.
La peinture à l’huile
Qu’est ce que la peinture à l’huile ?
L’origine de la peinture à l'huile n’est pas précisément connue. Toutefois il est communément admis que son usage tel qu’on le connaît aujourd’hui s’est généralisé à partir du XVe siècle [1]. La peinture à l’huile est un mélange d’au moins deux composés : un liant (l'huile) dans lequel est dispersé un pigment. L'huile employée par les peintres est dite siccative, c'est à dire qu'elle durcit et forme un film en présence d'air grâce à de nombreuses réactions chimiques.
Cependant toutes les huiles n'ont pas cette capacité. En effet, pour que le séchage ait lieu, il faut que les molécules qui constituent l'huile (les triglycérides, assemblages de trois acides gras) possèdent des chaînes insaturées (fonctions alcènes visibles sur la Figure 1) qui pourront réagir avec l'air et former un film solide. Par exemple, l'huile d'olive n'est pas siccative, en revanche, l'huile de lin, l'huile de noix ou l'huile d'œillette possèdent cette propriété et sont donc très utilisées en peinture à l'huile.
Une fois la peinture fabriquée, l'artiste peut choisir d'ajouter un liant supplémentaire appelé médium. Cela permet de modifier les propriétés physiques de sa préparation (comme la texture ou le séchage) et donc le rendu final du tableau.
Pour appliquer la peinture sur la toile, les artistes emploient généralement la technique du « gras sur maigre ». Le séchage de l’huile conduisant à une légère rétractation du film formé, il est nécessaire de superposer les couches grasses (séchant lentement) par-dessus les couches maigres (moins riches en huile et séchant plus rapidement) afin d’éviter des contraintes physiques menant à la formation de craquelures.
Notions de rhéologie et évolutions des peintures à l’huile
Le rendu final d’une peinture de chevalet est directement lié aux propriétés de la matière picturale préparée par le peintre et en particulier à ses propriétés d’écoulement : aspect lisse ou avec empâtements, coulures, traces de doigts ou du pinceau… D’un peintre à l’autre, le rendu est différent : l’artiste choisit de révéler ou non des traces de son travail.
Grâce à la rhéologie, définie comme « la science de l’écoulement et de la déformation » [2], il est possible de prédire le comportement d’une peinture, de son application à son séchage.
On peut mesurer notamment la viscosité des fluides en fonction de la contrainte physique qui leur est appliquée. Il est ainsi possible de distinguer différents types de fluides, notamment :
- newtoniens : matériaux dont la viscosité ne dépend pas de la contrainte qu’ils subissent, comme l'eau ;
- rhéofluidifiants : matériaux dont la viscosité diminue sous contrainte mécanique ;
- plastiques : matériaux présentant un caractère rhéofluidifiant mais qui s’écoulent à partir d’un seuil de contrainte critique (l’action du pinceau sur la toile, par exemple) ;
- thixotropes : matériaux présentant un caractère rhéofluidifiant mais qui retrouvent leur état initial après un temps plus ou moins long sans contrainte. Un exemple connu de matériau thixotrope est celui des sables-mouvants.
Au fil des siècles, la technique de peinture à l'huile a évolué et les recettes également : selon le courant artistique, la démarche de l'artiste et les progrès techniques de son époque, le tableau a un aspect différent.
La plupart des liquides (huiles, solvants, vernis…) employés par les artistes durant la Renaissance sont newtoniens, comme dans le cas des œuvres de Léonard de Vinci (Figure 2), où l’on ne décèle aucune trace de pinceau grâce à l’emploi de ces matériaux et de leur superposition en nombreuses couches très fines (les glacis) [3]. Plus tard, les peintres flamands comme Rubens ou les peintres hollandais comme Rembrandt préfèrent l’emploi de peintures plus épaisses contenant des médiums à base de résines naturelles. Le rendu de leurs tableaux est bien moins lisse que ceux de la Renaissance. Le coup de pinceau (la touche) est désormais visible et fait partie de la démarche de l’artiste (Figure 3).
Face à toutes ces possibilités, on comprend facilement que les peintres et leurs apprentis expérimentaient sans cesse dans leurs ateliers afin d’optimiser leurs mélanges. Ils mettaient au point des recettes bien souvent secrètes que les historiens tentent aujourd’hui de retrouver et d’étudier.
Megilps et gumtions : des matériaux d'intérêt pour les chimistes
Des mediums employés par les peintres
Parmi les médiums préparés par les peintres, l’un est défini comme « le plus souple et facile qu’un peintre ait jamais eu à sa disposition » [4]. Il s’agit du megilp et du gumtion, deux médiums gels utilisés en particulier en Angleterre au XIXe siècle, notamment par le peintre J. M. W. Turner.
L’intérêt porté par les artistes à ces matériaux serait dû à leurs propriétés rhéologiques et siccatives impressionantes. En effet la peinture mélangée à du megilp ou du gumtion et étalée au pinceau sur la toile se fige rapidement, ce qui permet de peindre une nouvelle couche par-dessus sans attendre les longs temps de séchage habituellement nécessaires en peinture à l’huile. En 1841, Turner aurait ainsi réalisé « Dawn of Christianity (Flight into Egypt) » en seulement trois jours, un véritable record (Figure 4) !
Cependant, certains tableaux peints à l’aide de ce type de médiums présentent aujourd’hui un état de forte dégradation. Les hypothèses qui pourraient expliquer ce phénomène sont principalement une trop grande quantité de ces médiums, leur interaction avec d’autres matériaux présents dans le tableau (comme les bitumes), ou le non-respect de la technique du gras sur maigre. Les dommages causés aux peintures sont parfois rapides et impressionnants. Plusieurs tableaux de M. H. da Silva, peintre portugais ayant notamment étudié à Londres, en témoignent par leur très mauvais état de conservation. La Figure 5 montre un détail de « O Cardeal D. Henrique recebendo a notícia da morte de D. Sebastião » réalisé en 1861 sur lequel sont apparues en quelques années seulement des craquelures en « écailles d’alligato », ce qui lui a valu d’être retiré de l’exposition dans laquelle il figurait [5] !
Les recettes des megilps et des gumtions
Afin d’en savoir plus sur les recettes mises au point dans les ateliers, les historiens d’art ne négligent aucune source : parfois l’artiste tient un cahier où il liste ses expérimentations, à la manière d’un chimiste, d’autres fois, on retrouve des catalogues des produits vendus chez les « marchands de couleurs », ou même d’anciennes commandes réalisées par les artistes. L’historienne de l’art Leslie Carlyle a notamment répertorié de nombreuses formulations utilisées par les peintres anglais du XIXe siècle, dont ces fameux médiums.
Les megilps et les gumtions sont des médiums gélifiés à base d’huile siccative, de résine mastic (une résine naturelle provenant du pistachier lentisque, un arbre méditerranéen) et d’un composé de plomb.
- Dans le cas du megilp, il faut préalablement cuire l’huile en présence de litharge (α-PbO), un oxyde de plomb de couleur orange, jusqu’à obtenir un liquide visqueux brun foncé : « l’huile noire ». C’est en mélangeant cette huile à la résine mastic que l’on obtient un gel orange foncé, généralement utilisé avec les peintures sombres [6] (Figure 6 gauche).
- Le gumtion, lui, est à base d’huile crue, qui est mélangée et broyée en présence d’acétate de plomb (Pb(CH3COO)2.3H2O, un cristal translucide qui ressemble au sucre en poudre) et de résine mastic. Le gel obtenu est jaune clair et généralement mélangé avec les peintures prévues pour les ciels [6] (Figure 6 droite).
Reconstitution des recettes en laboratoire
Pour mieux comprendre les interactions chimiques entre les différents composés, il est nécessaire de passer par une étape de reconstitution des recettes anciennes en laboratoire. Il faut d’abord adapter la recette ancienne en termes scientifiques. Puis chaque information importante est soigneusement notée : les masses des produits utilisés, les temps de broyage, la température de cuisson, l’origine des ingrédients etc. Le but est d’établir un protocole expérimental qui pourra être reproduit ensuite plusieurs fois avec le moins de variations possibles pour pouvoir comparer les médiums entre eux.
Au laboratoire, de nombreuses recettes ont été testées et nous nous intéressons pour le moment principalement au gumtion. C’est un matériau formé de plusieurs constituants, eux-mêmes de composition assez complexe :
- une huile de lin commerciale pressée à froid, composée principalement de triglycérides d’acides gras ;
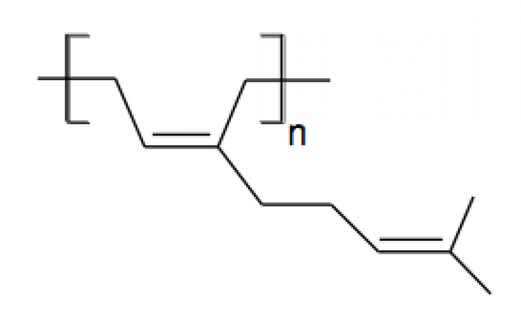
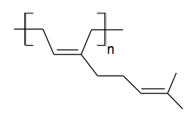
- une résine mastic naturelle provenant de l’île de Chios en Grèce. Elle contient en majorité des triterpénoïdes (grosses molécules dont le squelette est formé d'une trentaines d'atomes de carbone arrangés en cycle) et un polymère, le 1,4-poly-β-myrcène (Figures 7, 8 et 9) ;
- de l’essence de térébenthine qui, une fois mélangée à la résine mastic forme le vernis mastic. Elle contient de nombreux composés, essentiellement des terpènes, molécules dont les formules brutes sont du type (C5H8)n. Leurs squelettes carbonés sont constitués d'unités isopréniques (c'est-à-dire dérivées de l'isoprène) reliées les unes autres (Figure 10).
- de l’acétate de plomb (II) trihydraté, Pb(CH3COO)2.3H2O.
Sa structure est très proche de ceux qui composent la résine mastic.
Il faut également noter que les compositions des produits naturels varient significativement en fonction de l’origine du produit, de son âge etc.
Il est donc indispensable de simplifier les recettes et de préparer ce que l'on appelle un système modèle afin de rendre les interprétations plus aisées. Une fois que ce système modèle est étudié et analysé, il est possible de complexifier petit à petit les mélanges pour se rapprocher des systèmes réels tels qu’employés par les peintres.
La première simplification effectuée au laboratoire a été de supprimer l’huile de la formulation. En effet, après plusieurs expériences, il s’est avéré qu’en mélangeant uniquement l’acétate de plomb avec le vernis mastic (mélange de résine mastic et d’essence de térébenthine), un gel se forme. L’huile n’est donc pas indispensable à la formation de la structure gélifiée du gumtion. Elle était sûrement ajoutée pour donner la bonne texture au médium.
La deuxième simplification de la recette a consisté en un traitement chimique de la résine mastic permettant de séparer le polymère des triterpénoïdes selon un processus décrit dans la littérature [8] (solubilisation de la résine dans le dichlorométhane et précipitation du polymère par ajout de méthanol). Une fois le polymère éliminé, le mélange de cette résine modifiée avec l'essence de térébenthine a conduit à un pseudo-vernis de triterpénoïdes : broyé en présence d’acétate de plomb, un gel se forme également. Cela souligne le rôle de ces molécules dans l’élaboration du médium.
La caractérisation de la résine mastic par Chromatographie en Phase Gazeuse couplée à la Spectrométrie de Masse (GC/MS) a permis l'identification d'au moins une vingtaine de triterpénoïdes différents. Il a ainsi été possible d’acheter une molécule dont la structure est très proche des composés identifiés dans la résine mastic, l’acide oléanolique (Figures 7 et 8). Il est donc employé pour la confection de systèmes modèles très simplifiés contenant trois constituants : l’acide oléanolique, l’essence de térébenthine et l'acétate de plomb.
La prochaine étape serait de simplifier également le solvant en utilisant l’α-pinène, une molécule décrite par la littérature scientifique comme majoritaire dans l’essence de térébenthine [7].
Les questions qui se posent aujourd’hui sont principalement : comment se forme le gel ? Quelles sont les interactions chimiques mises en jeu ? Comment se dégrade-t-il ? Nous avons mis en place une stratégie analytique pour tenter de répondre à ces questions.
Stratégie analytique et premiers résultats obtenus
En parallèle de la simplification des préparations d’origine, nous nous attachons à leur caractérisation chimique et structurale à différentes échelles. Le but est d’obtenir des informations complémentaires qui permettent une vision d’ensemble de ces médiums et de leurs techniques de préparation.
Dans un premier temps, des expériences de rhéologie ont été menées afin de mieux appréhender les propriétés physiques du gumtion. Les mesures de viscosité du gumtion, de la peinture seule et d’un mélange gumtion/peinture ont permis de mettre en évidence l’effet assez spectaculaire de l’ajout de ce médium dans la peinture [9], comme on peut le voir sur la Figure 11. Cela a sûrement impressionné les artistes qui expérimentaient dans leurs ateliers et renforcé leur intérêt pour ces médiums.
Afin d’avoir une meilleure appréciation de la morphologie du gel, des images ont été obtenues par microscopie électronique après cryo-fracture. Cette technique d’imagerie généralement utilisée pour l’observation de matériaux mous (comme les tissus biologiques) est bien indiquée pour l’étude des gumtions. Ce procédé nécessite la préparation de l’échantillon (Figure 12) et présente une étape de vitrification du matériau analysé en le congelant à très basse température (-196 °C). Il est ensuite brisé et la fracture va suivre des lignes privilégiées selon les structures qu’elle rencontre. C’est finalement l’empreinte de la fracture qui est observé en microscopie électronique (l’utilisation d’un faisceau d’électrons permet une très bonne résolution et la mise en évidence de structures fines).
Les résultats obtenus après cryo-fracture d’un gumtion sont montrés sur la Figure 12. Ils indiquent la présence de structures lamellaires dans le gel qui peuvent atteindre plusieurs micromètres.
Par ailleurs, des techniques comme la spectroscopie infra-rouge (IR) ou la Résonance Magnétique Nucléaire du carbone à l’état solide (RMN 13C-MAS, pour Magic Angle Spinning car elle nécessite la rotation de l’échantillon) fournissent des informations cruciales quant aux interactions des constituants à l’échelle moléculaire.
En effet, en comparant les signaux des ingrédients seuls (acétate de plomb, vernis mastic) et les signaux du gel obtenu en les mélangeant, on constate notamment l’apparition d’un épaulement à 1750 cm-1 en IR (Figure 13) et d’un pic à 177 pm en RMN 13C-MAS (Figure 14). Dans les deux cas, le signal se trouve dans la zone de détection des carbonyles (C=O). Cela témoigne de la formation de nouveaux environnements chimiques acides dans le gel après mélange des composés initiaux, que l’on peut attribuer à l’interaction entre le plomb et les triterpénoïdes.
La partie gauche de la figure est un agrandissement de la zone encadrée en pointillés.
Toutes ces méthodes d'analyse permettent d'étudier le matériau à différentes échelles : les chercheurs s'intéressent d'abord à ses propriétés physiques et tentent ensuite de comprendre le gumtion à l’échelle moléculaire.
Les premiers résultats indiquent une interaction spécifique entre l’élément plomb et les groupements acides carboxyliques des triterpénoïdes de la résine mastic qui pourraient conduire à la formation des structures supramoléculaires observées en cryo-microscopie, elles-mêmes possiblement impliquées dans les propriétés macroscopiques des médiums.
Conclusion
L’analyse des peintures et plus généralement des objets relevant du patrimoine culturel n’est pas aisée car elle implique des matériaux complexes tant par leur composition que par leur histoire, parfois mal connue. L’essor de ce domaine de recherche au carrefour des disciplines permet néanmoins aujourd’hui d’obtenir des informations cruciales pour les historiens et restaurateurs d’art. On peut constater également le pouvoir de la démarche empirique empruntée par les artistes : ils ont élaboré et optimisé des procédés chimiques complexes que l’on peine encore aujourd’hui à expliquer.
Ces recherches apportent des éclairages sur la chimie régissant la formation de ces médiums très particuliers. Grâce à des techniques analytiques complémentaires, il est possible d’étudier différents aspects de ces matériaux et la simplification de leur formulation permet de mieux comprendre les interactions physico-chimiques impliquées dans leur formation. Il sera ainsi possible d'appréhender leur dégradation de manière à proposer des méthodes de conservation ou de restauration adaptées des œuvres contenant des megilps ou des gumtions.
Témoignage
Retrouvez le témoignage de l'autrice en vidéo :
Bibliographie
[1]. Vasari G. (1568). Le Vite de’piu eccellenti pittori, scultori e architettori, Florence. Traduction française d’André Chastel (1989). Les vies des meilleurs peintres sculpteurs. Berger-Levrault.
[2]. Guazzelli, É. (2001). Rhéologie des fluides complexes.
[3]. de Viguerie, L., Walter, P., Laval, E., Mottin, B., & Solé, V. A. (2010). Revealing the sfumato Technique of Leonardo da Vinci by X‐Ray Fluorescence Spectroscopy. Angewandte Chemie International Edition, 49(35), 6125-6128.
[4]. Maroger, J., & Havel, M. (1986). Jacques Maroger, 1884-1962: à la recherche des secrets des grands peintres. Dessain et Tolra.
[5]. Carlyle, L., & Southall, A. (1993). No short mechanic road to fame: the implications of certain artists' materials for the durability of British painting-1770-1840. In Robert Vernon's gift: British art for the nation 1847 (pp. 21-26). Tate Gallery.
[6]. Carlyle, L. A. (2001). The artist's assistant: oil painting instruction manuals and handbooks in Britain 1800-1900, with reference to selected Eighteenth-century sources. Archetype publications.
[7]. Ghanmi, M., Satrani, B., Chaouch, A., Aafi, A., Abid, A. E., Ismaili, M. R., & Farah, A. (2007). Composition chimique et activité antimicrobienne de l'essence de térébenthine du pin maritime (Pinus pinaster) et du pin d'Alep (Pinus hale-pensis) du Maroc. Acta Botanica Gallica, 154(2), 293-300.
[8]. Dietemann, P., Higgitt, C., Kälin, M., Edelmann, M. J., Knochenmuss, R., & Zenobi, R. (2009). Aging and yellowing of triterpenoid resin varnishes–Influence of aging conditions and resin composition. Journal of Cultural Heritage, 10(1), 30-40.
[9]. de Viguerie, L., Jaber, M., Pasco, H., Lalevée, J., Morlet‐Savary, F., Ducouret, G., Rigaud, B., Pouget, T., Sanchez, C., & Walter, P. (2017). A 19th Century “Ideal” Oil Paint Medium: A Complex Hybrid Organic–Inorganic Gel. Angewandte Chemie International Edition, 56(6), 1619-1623.














